什么是线性电路,它是如何工作的?线性电路是遵循叠加原理的电子电路。叠加定理可以应用于任何线性电路。当有多个独立电源时,可以分别计算每个电源产生的电压和电流,然后进行代数求和。这避免了创建一系列循环或节点方程的需要,从而简化了计算。
什么是线性电路?
由于该电路的输出电压和电流是输入电压和电流的线性函数,因此称为线性电路。原理如下图所示。

当频率为f的正弦输入电压或电流施加到电路的任何稳态部分(流过任何元件的电流或任何两点之间的电压)时,线性的另一个定义是,任何稳态输出电路(流过任何元件的电流或任何两点之间的电压)也是频率为f的正弦曲线。术语线性时不变指的是具有恒定元件值(LTI)的线性电路。
线性电路是一种电路,其中电气元件(如电阻、电容、电感、增益等)的值。)在电路中的电压或电流增加时不会改变。线性电路很有用,因为它们可以放大和处理电子信号,而不会引入任何失真。音频系统是使用线性电路的电子设备的一个例子。来这里看看线性电路的原理。
线性电路的替代定义:
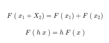
线性定义方程,即叠加原理,与通常用作替代定义的可加性和同质性两个性质相同。

线性电路是这样一种电路,其中(1)两个信号之和的输出与分别施加两个信号时的输出相同,并且(2)输入信号x(t)被缩放因子h缩放以缩放输出信号F(x(t))。
线性电路的含义:
线性电路很有用,因为它们可以处理模拟信号而不会产生互调失真。这意味着信号中的不同频率保持分离,不会混合,从而产生新的频率(外差)。
它们不太难理解和分析。线性电路由线性微分方程控制,强大的数学频域技术(如傅里叶分析和拉普拉斯变换)可以用于研究,因为它们遵循叠加原理。
这些还提供了电路定性行为的可视化表示,用增益、谐振频率、相移、带宽、品质因数、极点和零点等术语来描述。线性电路通常可以在科学计算器的帮助下手工分析。
另一方面,非线性电路的封闭解很少。如果需要精确的结果,必须通过电路模拟计算机程序(如SPICE)用近似数值方法进行检验。单个数字可以指定线性电路组件的行为,如电阻、电容和电感(分别为电阻、电容和电感)。
非线性元件的行为由其详细的传递函数决定,传递函数可以用曲线图表示。因此,解释非线性电路的特性比解释线性电路的特性需要更多的信息。
电子制造有一个单独的线性电路和系统类别。晶体管和集成电路制造商通常将其产品线分为线性和数字两类。这里的线性一词指的是模拟集成电路,如运算放大器、音频放大器和有源滤波器,以及许多执行非线性模拟功能的信号处理电路,如对数放大器、模拟乘法器和峰值检波器。
 
		
 
           
           
           
          